J Cardiovasc Thorac Res. 14(1):23-33. doi: 10.34172/jcvtr.2022.07Original Article
Prognostic significance of CHADS2 and CHA2DS2-VASc scores to predict unfavorable outcomes in hospitalized patients with COVID-19
Mahnaz Montazeri 1, *
, Mohammad Keykhaei 2, *, Sina Rashedi 2, *, Shahrokh Karbalai Saleh 3, Marzieh Pazoki 4, Azar Hadadi 1, 5, Seyyed Hamidreza Sharifnia 6, Mehran Sotoodehnia 7, Sanaz Ajloo 2, Samira Kafan 4, *, Haleh Ashraf 2, 8, *
1Department of Infectious Diseases, Sina Hospital, Tehran University of Medical Sciences, Tehran, Iran
2Research Development Center, Sina Hospital, Tehran University of Medical Sciences, Tehran, Iran
3Department of Cardiology, Sina Hospital, Tehran University of Medical Sciences, Tehran, Iran
4Department of Pulmonary Medicine, Sina Hospital, Tehran University of Medical Sciences, Tehran, Iran
5Research Center For Clinical Virology, Tehran University of Medical Sciences, Tehran, Iran
6Department of Anesthesiology, Sina Hospital, Tehran University of Medical Sciences, Tehran, Iran
7Department of Emergency Medicine, Sina Hospital, Tehran University of Medical Sciences, Tehran, Iran
8Cardiac Primary Prevention Research Center (CPPRC), Cardiovascular Diseases Research Institute, Tehran University of Medical Sciences, Tehran, Iran
*Corresponding Authors:Samira Kafan, Email: [email protected], Haleh Ashraf, Email: [email protected]
#These three authors contributed equally as the first author.
Abstract
Introduction:
Owing to the imposed burden of the coronavirus disease 2019 (COVID-19),the need for stratifying the prognosis of patients has never been timelier. Hence, we aimed to ascertain the value of CHADS2, CHA2DS2-VASc, and CHA2DS2-VASc-M (one point for male instead of female) scores to predict unfavorable outcomes in COVID-19 patients.
Methods:
We enrolled consecutive patients above 18 years of age with confirmed COVID-19,who were admitted between February 16 and November 1, 2020. The primary endpoint of this study was three-month all-cause mortality. The secondary endpoints were considered four major in-hospital clinical features, including acute respiratory distress syndrome, cardiac injury,acute kidney injury, and mechanical ventilation.
Results:
A total of 1,406 hospitalized COVID-19 patients were studied, among which 301(21.40%) patients died during the follow-up period. Regarding the risk scores, CHADS 2≥1,CHA2DS2-VASc≥2, and CHA2DS2-VASc-M≥2 were significantly associated with mortality. The performance of all risk scores for predicting mortality was satisfactory (area under the curve:0.668, 0.668, and 0.681, respectively). Appraising secondary endpoints, we found that all three risk scores were associated with increased risk of acute respiratory distress syndrome, cardiac injury, acute kidney injury, and mechanical ventilation. Lastly, we revealed that all risk scores were significantly correlated with serum levels of laboratory biomarkers.
Conclusion:
Our analysis illustrated that the CHADS2, CHA2DS2-VASc, and CHA2DS2-VASc-Mscores could aid prognostication of unfavorable outcomes in COVID-19 patients. Therefore,these easily calculable methods could be integrated into the overall therapeutic strategy to guide the COVID-19 management more accurately.
Keywords: Acute Kidney Injury, Acute Respiratory Distress Syndrome, Cardiac Injury, COVID-19, Mortality
Copyright
© 2022 The Author(s)
This is an open access article distributed under the terms of the Creative Commons Attribution License (
http://creativecommons.org/licenses/by/4.0/), which permits unrestricted use, distribution, and reproduction in any medium, provided the original work is properly cited.
Introduction
As a tremendous challenge and threat to public health, the novel coronavirus disease 2019 (COVID-19) attracts increasing attention.
1
By April 17, 2021, the COVID-19 had affected more than 141 million people, claiming more than 3.0 million lives.
2
Although respiratory failure has remained the most common culprit for unfavorable outcomes, the COVID-19 has been evidenced to be a complex condition with multiorgan involvement.
3
Appraising the determinants of the disease progression, cardiovascular (CV) risk factors have played a pivotal role in the clinical course of patients with COVID-19.
4
In this perspective, practical prognostication and early identification of critically ill patients with COVID-19 may aid in optimizing the allocation of healthcare resources and delivering proper treatment.
1,5
However, no single prognostic model has represented incremental value for timely risk stratification of the disease. Hence, it seems imperative to develop robust and straightforward methods to ascertain the prognosis of patients with COVID-19.
The CHADS2 and CHA2DS2-VASc scores are well-validated clinical prediction tools, commonly applied to identify the risk of thromboembolic events in patients with atrial fibrillation (AF).
6
Besides, owing to the clusters of stroke and cardiovascular risk factors included within the CHADS2 and CHA2DS2-VASc scores, the privilege of using these methods for predicting thromboembolism and mortality beyond the original disease has been well identified.
6-8
In support of this concept, Chen and colleagues
7
indicated the essential impact of CHADS2 and CHA2DS2-VASc scores on predicting one-year all-cause mortality in patients with systolic heart failure. Across patients with COVID-19, each of the component comorbidities of the aforementioned scores has been independently associated with an increased risk of mortality.
9-14
In addition, the simplicity of calculating these risk scores could facilitate their adoption in chaotic settings during the COVID-19 pandemic.
15
Therefore, it can be intuitive to hypothesize that mortality may also be well captured by the CHADS2 and CHA2DS2-VASc scores in patients with COVID-19.
So far, few studies have narrowed the path, linking CHADS2 and CHA2DS2-VASc scores with poor outcomes in patients with COVID-19.
15-17
However, it seems difficult to arrive at the best evidence-based decision concerning the current literature as different outcomes rather than mortality have not been adequately evaluated. Furthermore, longitudinal data regarding the impact of these risk scores on COVID-19 patients are still lacking. Thus, we sought to ascertain the value of CHADS2 and CHA2DS2-VASc scores, as well as their refinement form, the CHA2DS2-VASc-M score, to predict all-cause mortality in COVID-19 patients. Secondly, we added new insights to the existing literature by appraising whether these scores could be used to estimate the susceptibility to develop acute respiratory distress syndrome (ARDS), cardiac injury, acute kidney injury (AKI), and mechanical ventilation in patients with COVID-19.
Materials and Methods
Ethical considerations
The research was conducted according to the principles of the 1975 declaration of Helsinki. All patients gave written informed consent before inclusion in the study.
Study design and participants
We enrolled consecutive patients above 18 years of age with laboratory or radiologically confirmed COVID-19 who were admitted to our tertiary center between February 16 and November 1, 2020. The inclusion criteria were as follows: 1. Patients with positive real-time reverse-transcriptase polymerase-chain-reaction (PCR) test of respiratory specimens for severe acute respiratory syndrome coronavirus 2 (SARS-CoV-2); or 2. Patients clinically suspicious for COVID-19 based on the World Health Organization (WHO) interim guidance with a chest computed tomography (CT) involvement in favor of COVID-19.
18
The clinical and laboratory data of the recruited patients were attained from the electronic medical records and reviewed thoroughly to ensure accuracy. The discharged patients were followed for at least three months from the day of admission to assess the mortality.
Definitions and endpoints
The CHADS2 score was ascertained for each patient accordingly: congestive heart failure (CHF) (1 point), hypertension (1 point), age ≥ 75 (1 point), diabetes mellitus (DM) (1 point), and previous stroke or transient ischemic attack (TIA) (2 points). The CHA2DS2-VASc score for every patient was calculated by assigning 1 point for CHF, hypertension, age 65 to 74 years, DM, vascular disease, female sex, and 2 points for age ≥ 75, and previous stroke/TIA. Given that the male sex has been recognized as a risk factor for the severity and poor prognosis of COVID-19,
19
we also calculated a modified CHA2DS2-VASc score (CHA2DS2-VASc-M) by giving 1 point for the male sex instead of the female sex.
The primary endpoint of this study was three-month all-cause mortality. The secondary endpoints were considered as four major in-hospital clinical features: 1. ARDS determined in adherence with Berlin definition;
20
2. Cardiac injury established as the elevated serum level of highly sensitive cardiac troponin I (hs-cTnI) above the 99th centile upper reference limit (26 pg/mL for males and 11 pg/mL for females);
21
3. AKI defined according to the KDIGO criteria;
22
4. Mechanical ventilation with endotracheal intubation performed in patients with progressive hypoxemic respiratory failure failing to respond to standard non-invasive oxygen therapy.
18
Statistical analysis
Normally distributed continuous variables were presented as mean ± standard deviation and compared using the independent samples T-test. Categorical variables were summarized as counts and percentages and compared utilizing the chi-squared test. Kaplan-Meier survival curves were plotted to investigate the prognostic significance of CHADS2, CHA2DS2-VASc, and CHA2DS2-VASc-M scores regarding the three-month mortality (the primary endpoint). Furthermore, Cox proportional hazard regression was performed for each of these risk scores and their components (CHF, hypertension, age 65-74 years, age ≥ 75, DM, stroke or TIA, vascular disease, and female gender) in univariate analysis, and hazard ratios (HRs) and their corresponding 95% confidence intervals (CIs) were calculated. The category with a score of zero for each risk score was set as the reference category. Additionally, the multivariate analyses for the risk scores were conducted adjusting for other comorbidities, including dyslipidemia, atrial fibrillation, chronic kidney disease, chronic respiratory disease, malignancy, tobacco smoking, and opium consumption.
The univariate and multivariate logistic regression analyses (adjusting for the mentioned comorbidities) were performed concerning the secondary endpoints, and the odds ratios (ORs) and 95% CIs were calculated. Because of the small number of patients with high scores, patients with CHADS2 ≥ 3, CHA2DS2-VASc ≥ 4, and CHA2DS2-VASc-M ≥ 4 were combined. The prediction performance of these three risk scores for the primary and secondary endpoints was investigated by receiver operating characteristic (ROC) curves and calculation of the area under the curve (AUC) with the corresponding 95% CIs, and compared using the “roccomp” command. Ultimately, Spearman rank correlation was utilized to measure the degree of association between the risk scores and serum levels of three laboratory parameters: 1. C-reactive protein (CRP) (mg/L), 2. Hs-cTnI (pg/mL), and 3. D-dimer (ng/mL). All statistical analyses were conducted utilizing Stata (version 14.2; Stata Corp, College Station, Texas, USA), with P values less than 0.05 indicating statistical significance.
Results
Patient characteristics
After excluding seven patients below 18 years of age, a total of 1,406 hospitalized COVID-19 patients were included in this study. The diagnosis of COVID-19 was determined based on PCR test and chest CT in 832 (59.17%) and 574 (40.83%), respectively. Table 1 summarizes the demographics, comorbidities, medications, CHADS2, CHA2DS2-VASc, CHA2DS2-VASc-M scores, and in-hospital outcomes of the study cohort. The participants’ mean age was 59.47 ± 16.48, and males accounted for 60.46% (850/1,406) of the patients.
Table 1.
Characteristics of the hospitalized COVID-19 patients based on three-month mortality
|
|
Total patients (n=1,406)
|
Non-survivors (n=301; 21.40%)
|
Survivors (n=1,105; 78.60%)
|
P
value
|
| Demographics |
| Age (years) | 59.47 ± 16.48 | 69.34 ± 13.99 | 56.78 ± 16.08 |
< 0.001*
|
| Male gender | 850 (60.46%) | 188 (62.46%) | 662 (59.91%) | 0.423 |
|
BMI (kg/m2)
| 27.46 ± 4.75 | 27.04 ± 4.81 | 27.54 ± 4.73 | 0.249 |
| Comorbidities |
| Hypertension | 638 (45.38%) | 177 (58.80%) | 461 (41.72%) |
< 0.001*
|
| DM | 423 (30.09%) | 111 (36.88%) | 312 (28.24%) |
0.004*
|
| Dyslipidemia | 497 (35.35%) | 139 (46.18%) | 358 (32.40%) |
< 0.001*
|
| Coronary artery disease | 300 (21.34%) | 83 (27.57%) | 217 (19.64%) |
0.003*
|
| CHF | 79 (5.62%) | 40 (13.29%) | 39 (3.53%) |
< 0.001*
|
| Atrial fibrillation | 31 (2.20%) | 14 (4.65%) | 17 (1.54%) |
0.001*
|
| Stroke/TIA | 64 (4.55%) | 28 (9.30%) | 36 (3.26%) |
< 0.001*
|
| CKD | 69 (4.91%) | 23 (7.64%) | 46 (4.16%) |
0.013*
|
| Chronic respiratory disease | 91 (6.47%) | 26 (8.64%) | 65 (5.88%) | 0.085 |
| Malignancy | 64 (4.55%) | 29 (9.63%) | 35 (3.17%) |
< 0.001*
|
| Tobacco smoking | 169 (12.02%) | 42 (13.95%) | 127 (11.49%) | 0.245 |
| Opium consumption | 92 (6.54%) | 24 (7.97%) | 68 (6.15%) | 0.285 |
|
CHADS2
|
| 0 | 549 (39.05%) | 59 (19.60%) | 490 (44.34%) |
< 0.001*
|
| 1 | 414 (29.45%) | 91 (30.23%) | 323 (29.23%) |
| 2 | 280 (19.91%) | 79 (26.25%) | 201 (18.19%) |
| ≥ 3 | 163 (11.59%) | 72 (23.92%) | 91 (8.24%) |
|
CHA2DS2-VASc
|
| 0 | 290 (20.63%) | 31 (10.30%) | 259 (23.44%) |
< 0.001*
|
| 1 | 352 (25.04%) | 49 (16.28%) | 303 (27.42%) |
| 2 | 245 (17.43%) | 49 (16.28%) | 196 (17.74%) |
| 3 | 197 (14.01%) | 48 (15.95%) | 149 (13.48%) |
| ≥ 4 | 322 (22.90%) | 124 (41.20%) | 198 (17.92%) |
|
CHA2DS2-VASc-M
|
| 0 | 175 (12.45%) | 14 (4.65%) | 161 (14.57%) |
< 0.001*
|
| 1 | 402 (28.59%) | 46 (15.28%) | 356 (32.22%) |
| 2 | 259 (18.42%) | 54 (17.94%) | 205 (18.55%) |
| 3 | 219 (15.58%) | 60 (19.93%) | 159 (14.39%) |
| ≥ 4 | 351 (24.96%) | 127 (42.19%) | 224 (20.27%) |
| In-hospital medications |
| Hydroxychloroquine | 719 (51.14%) | 120 (39.87%) | 599 (54.21%) |
< 0.001*
|
| Lopinavir/ritonavir | 534 (37.98%) | 122 (40.53%) | 412 (37.29%) | 0.304 |
| Favipiravir | 160 (11.38%) | 37 (12.29%) | 123 (11.13%) | 0.574 |
| Atazanavir | 180 (12.80%) | 44 (14.62%) | 136 (12.31%) | 0.288 |
| Remdesivir | 120 (8.53%) | 43 (14.29%) | 77 (6.97%) |
< 0.001*
|
| Umifenovir | 102 (7.25%) | 19 (6.31%) | 83 (7.51%) | 0.477 |
| Interferon β-1a | 384 (27.31%) | 97 (32.23%) | 287 (25.97%) |
0.031*
|
| Azithromycin | 123 (8.75%) | 21 (6.98%) | 102 (9.23%) | 0.220 |
| Steroids | 663 (47.16%) | 179 (59.47%) | 484 (43.80%) |
< 0.001*
|
| In-hospital clinical features |
| ARDS | 383 (27.24%) | 190 (63.12%) | 193 (17.47%) |
< 0.001*
|
| Cardiac injury | 317 (22.55%) | 148 (49.17%) | 169 (15.29%) |
< 0.001*
|
| AKI | 177 (12.59%) | 121 (40.20%) | 56 (5.07%) |
< 0.001*
|
| Mechanical ventilation | 168 (11.95%) | 157 (52.16%) | 11 (1.00%) |
< 0.001*
|
Abbreviations: AKI, acute kidney injury; ARDS, acute respiratory distress syndrome; BMI, body mass index; CHF, congestive heart failure; CKD, chronic kidney disease; DM, diabetes mellitus; RAAS, renin-angiotensin-aldosterone system; TIA, transient ischemic attack
Continuous variables are presented as mean ± standard deviation, categorical variables as number (%).
*P < 0.05 is significant.
Three-month mortality
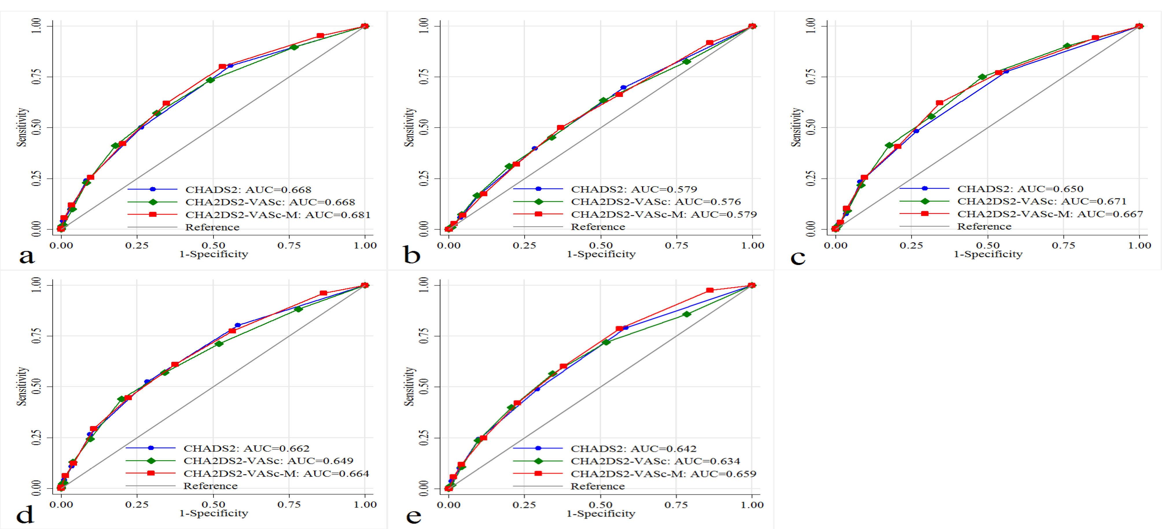
During the follow-up period, 301 (21.40%) patients died. Compared to the survivors, the deceased patients were older (P < 0.001) and had a higher percentage of hypertension (P < 0.002), DM (P = 0.004), dyslipidemia (P < 0.001), coronary artery disease (P = 0.003), CHF (P < 0.001), atrial fibrillation (P = 0.001), stroke/TIA (P < 0.001), chronic kidney disease (CKD) (P = 0.013), and malignancy (P < 0.001). Non-survivors were more likely to receive remdesivir, interferon-β1a, and steroids and less hydroxychloroquine (Table 1). Regarding the risk scores, CHADS2 ≥ 1, CHA2DS2-VASc ≥ 2, and CHA2DS2-VASc-M ≥ 2 were associated with mortality (Table 2) (). The mortality rates for patients with CHADS2 score of 0, 1, 2, and ≥ 3 were 10.74%, 21.98%, 28.21%, 44.17%, respectively. Similar trends of mortality rates were observed regarding CHA2DS2-VASc and CHA2DS2-VASc-M risk scores. Except for age 65-74 years and female gender, all the components of these scores were correlated with mortality (). Based on ROC curves, CHADS2, CHA2DS2-VASc, and CHA2DS2-VASc-M reached the AUC of 0.668 (95% CI 0.635 - 0.701), 0.668 (95% CI 0.634 - 0.702), 0.681 (95% CI 0.648 - 0.714), respectively (). No statistically significant difference was observed between these three AUCs (P = 0.250) (Supplementary Table S1).
Table 2.
Results of the univariate and multivariate analyses for three-month mortality and in-hospital outcomes of the hospitalized COVID-19 patients regarding the three risk scores
|
|
Univariate analysis
|
Multivariate analysis*
|
|
ES
|
95% CI
|
P
-value
|
ES
|
95% CI
|
P
value
|
| Three-month mortality |
|
CHADS2
|
| 0 | Reference |
|
| Reference |
|
|
| 1 | 2.154 | 1.552 – 2.989 | < 0.001 | 2.182 | 1.564 – 3.043 |
< 0.001*
|
| 2 | 2.923 | 2.086 – 4.096 | < 0.001 | 2.754 | 1.915 – 3.960 |
< 0.001*
|
| ≥ 3 | 4.929 | 3.492 – 6.956 | < 0.001 | 4.626 | 3.151 – 6.791 |
< 0.001*
|
|
CHA2DS2-VASc
|
| 0 | Reference |
|
| Reference |
|
|
| 1 | 1.308 | 0.834 – 2.051 | 0.242 | 1.281 | 0.814 – 2.015 | 0.284 |
| 2 | 1.943 | 1.239 – 3.047 | 0.004 | 1.994 | 1.261 – 3.155 |
0.003*
|
| 3 | 2.469 | 1.572 – 3.879 | < 0.001 | 2.453 | 1.537 – 3.917 |
< 0.001*
|
| ≥ 4 | 4.226 | 2.850 – 6.265 | < 0.001 | 4.059 | 2.623 – 6.280 |
< 0.001*
|
|
CHA2DS2-VASc-M
|
| 0 | Reference |
|
| Reference |
|
|
| 1 | 1.459 | 0.802 – 2.655 | 0.215 | 1.156 | 0.831 – 2.765 | 0.175 |
| 2 | 2.779 | 1.543 – 5.002 | 0.001 | 2.735 | 1.512 – 4.947 |
0.001*
|
| 3 | 3.781 | 2.113 – 6.765 | < 0.001 | 3.692 | 2.039 – 6.688 |
< 0.001*
|
| ≥ 4 | 5.342 | 3.076 – 9.279 | < 0.001 | 5.050 | 2.849 – 8.949 |
< 0.001*
|
| ARDS |
|
CHADS2
|
| 0 | Reference |
|
| Reference |
|
|
| 1 | 1.435 | 1.066 – 1.932 | 0.017 | 1.418 | 1.046 – 1.922 |
0.024*
|
| 2 | 1.710 | 1.236 – 2.367 | 0.001 | 1.651 | 1.155 – 2.360 |
0.006*
|
| ≥ 3 | 2.413 | 1.685 – 3.511 | < 0.001 | 2.274 | 1.495 – 3.457 |
< 0.001*
|
|
CHA2DS2-VASc
|
| 0 | Reference |
|
| Reference |
|
|
| 1 | 0.870 | 0.598 – 1.267 | 0.470 | 0.852 | 0.583 – 1.244 | 0.408 |
| 2 | 1.331 | 0.902 – 1.964 | 0.149 | 1.275 | 0.855 – 1.902 | 0.233 |
| 3 | 1.256 | 0.829 – 1.904 | 0.281 | 1.201 | 0.778 – 1.855 | 0.407 |
| ≥ 4 | 1.951 | 1.368 – 2.781 | < 0.001 | 1.853 | 1.233 – 2.783 |
0.003*
|
|
CHA2DS2-VASc-M
|
| 0 | Reference |
|
| Reference |
|
|
| 1 | 1.497 | 0.954 – 2.348 | 0.079 | 1.551 | 0.985 – 2.440 | 0.058 |
| 2 | 1.461 | 0.903 – 2.366 | 0.122 | 1.487 | 0.912 – 2.423 | 0.111 |
| 3 | 2.136 | 1.320 – 3.458 | 0.002 | 2.093 | 1.269 – 3.451 |
0.004*
|
| ≥ 4 | 2.505 | 1.604 – 3.913 | < 0.001 | 2.426 | 1.506 – 3.907 |
< 0.001*
|
| Cardiac injury |
|
CHADS2
|
| 0 | Reference |
|
| Reference |
|
|
| 1 | 1.950 | 1.388 – 2.739 | < 0.001 | 1.571 | 1.101 – 2.241 |
0.013*
|
| 2 | 2.646 | 1.845 – 3.794 | < 0.001 | 1.553 | 1.040 – 2.321 |
0.031*
|
| ≥ 3 | 5.597 | 3.765 – 8.321 | < 0.001 | 3.213 | 2.059 – 5.013 |
< 0.001*
|
|
CHA2DS2-VASc
|
| 0 | Reference |
|
| Reference |
|
|
| 1 | 1.319 | 0.815 – 2.134 | 0.259 | 1.218 | 0.746 – 1.990 | 0.430 |
| 2 | 2.830 | 1.767 – 4.532 | < 0.001 | 2.341 | 1.436 – 3.818 |
0.001*
|
| 3 | 2.473 | 1.501 – 4.075 | < 0.001 | 1.799 | 1.061 – 3.050 |
0.029*
|
| ≥ 4 | 5.730 | 3.713 – 8.842 | < 0.001 | 3.433 | 2.110 – 5.585 |
< 0.001*
|
|
CHA2DS2-VASc-M
|
| 0 | Reference |
|
| Reference |
|
|
| 1 | 1.382 | 0.786 – 2.431 | 0.261 | 1.315 | 0.740 – 2.334 | 0.350 |
| 2 | 1.933 | 1.081 – 3.457 | 0.026 | 1.487 | 0.818 – 2.702 | 0.193 |
| 3 | 3.927 | 2.231 – 6.914 | < 0.001 | 2.526 | 1.398 – 4.562 |
0.002*
|
| ≥ 4 | 5.068 | 2.971 – 8.643 | < 0.001 | 2.917 | 1.652 – 5.150 |
< 0.001*
|
| AKI |
|
CHADS2
|
| 0 | Reference |
|
| Reference |
|
|
| 1 | 1.971 | 1.252 – 3.104 | 0.003 | 1.654 | 1.035 – 2.642 |
0.035*
|
| 2 | 2.886 | 1.811 – 4.600 | < 0.001 | 1.995 | 1.191 – 3.342 |
0.009*
|
| ≥ 3 | 5.950 | 3.675 – 9.632 | < 0.001 | 3.991 | 2.320 – 6.867 |
< 0.001*
|
|
CHA2DS2-VASc
|
| 0 | Reference |
|
| Reference |
|
|
| 1 | 1.193 | 0.667 – 2.132 | 0.551 | 1.105 | 0.613 – 1.990 | 0.739 |
| 2 | 1.455 | 0.793 – 2.670 | 0.225 | 1.229 | 0.657 – 2.300 | 0.517 |
| 3 | 1.693 | 0.909 – 3.152 | 0.097 | 1.335 | 0.695 – 2.564 | 0.385 |
| ≥ 4 | 4.094 | 2.453 – 6.833 | < 0.001 | 2.598 | 1.449 – 4.657 |
0.001*
|
|
CHA2DS2-VASc-M
|
| 0 | Reference |
|
| Reference |
|
|
| 1 | 2.146 | 0.930 – 4.950 | 0.073 | 2.106 | 0.907 – 4.885 | 0.083 |
| 2 | 3.026 | 1.294 – 7.072 | 0.011 | 2.515 | 1.062 – 5.954 | 0.036 |
| 3 | 3.663 | 1.564 – 8.579 | 0.003 | 2.656 | 1.104 – 6.390 | 0.029 |
| ≥ 4 | 6.970 | 3.143 – 15.458 | < 0.001 | 4.670 | 2.033 – 10.729 | < 0.001 |
| Mechanical ventilation |
|
CHADS2
|
| 0 | Reference |
|
| Reference |
|
|
| 1 | 2.063 | 1.314 – 3.238 | 0.002 | 2.098 | 1.324 – 3.323 |
0.002*
|
| 2 | 2.519 | 1.564 – 4.056 | < 0.001 | 2.462 | 1.470 – 4.122 |
0.001*
|
| ≥ 3 | 4.935 | 3.016 – 8.075 | < 0.001 | 4.767 | 2.746 – 8.273 |
< 0.001*
|
|
CHA2DS2-VASc
|
| 0 | Reference |
|
| Reference |
|
|
| 1 | 0.774 | 0.427 – 1.403 | 0.400 | 0.746 | 0.410 – 1.359 | 0.339 |
| 2 | 1.315 | 0.734 – 2.356 | 0.356 | 1.269 | 0.699 – 2.303 | 0.433 |
| 3 | 1.836 | 1.029 – 3.274 | 0.039 | 1.763 | 0.964 – 3.224 | 0.065 |
| ≥ 4 | 2.912 | 1.771 – 4.786 | < 0.001 | 2.762 | 1.570 – 4.859 |
< 0.001*
|
|
CHA2DS2-VASc-M
|
| 0 | Reference |
|
| Reference |
|
|
| 1 | 3.697 | 1.287 – 10.619 | 0.015 | 4.005 | 1.390 – 11.542 |
0.010*
|
| 2 | 5.812 | 2.013 – 16.777 | 0.001 | 6.244 | 2.150 – 18.130 |
0.001*
|
| 3 | 6.785 | 2.342 – 19.656 | < 0.001 | 7.070 | 2.402 – 20.807 |
< 0.001*
|
| ≥ 4 | 10.840 | 3.889 – 30.213 | < 0.001 | 11.035 | 3.864 – 31.513 |
< 0.001*
|
Abbreviations: AKI, acute kidney injury; ARDS, acute respiratory distress syndrome; CI, confidence interval; ES, effect size.
aAdjusted for comorbidities including dyslipidemia, atrial fibrillation, chronic kidney disease, chronic respiratory disease, malignancy, tobacco smoking, and opium consumption.
*P < 0.01 is significant.
Figure 1.
Kaplan-Meier survival curves for three-month mortality regarding (a) CHADS2, (b) CHA2DS2-VASc, and (c) CHA2DS2-VASc-M scores
Figure 2.
Forrest plot of hazard ratios for three-month mortality of individual CHA2DS2-VASc components
Figure 3.
Predictive performance of CHADS2, CHA2DS2-VASc, and CHA2DS2-VASc-M scores regarding (a) Three-month mortality, (b) ARDS, (c) Cardiac injury, (d) AKI, and (e) Mechanical ventilation. Abbreviations: AKI, acute kidney injury; ARDS, acute respiratory distress syndrome.
Secondary endpoints
Table 2 summarizes the results of the three risk scores regarding the defined secondary endpoints. After adjusting for potential confounders in multivariate analysis, these three risk scores were associated with adverse in-hospital clinical features of patients with COVID-19. ARDS occurred in 383 (27.24%) patients, and CHADS2 ≥ 1, CHA2DS2-VASc ≥ 4, and CHA2DS2-VASc-M ≥ 3 were predictors of ARDS. The cardiac injury was diagnosed in 317 (22.55%) patients, and CHADS2 ≥ 1, CHA2DS2-VASc ≥ 2, and CHA2DS2-VASc-M ≥ 3 were correlated with cardiac injury. AKI was detected in 177 (12.59%), and CHADS2 ≥ 1, CHA2DS2-VASc ≥ 4, and CHA2DS2-VASc-M ≥ 2 were linked with the occurrence of AKI. Mechanical ventilation was performed in 168 (11.95%) patients, and CHADS2 ≥ 1, CHA2DS2-VASc ≥ 4, and CHA2DS2-VASc-M ≥ 1 were associated with the need for mechanical ventilation (Table 2). The prediction performance of these three risk scores concerning the secondary endpoints was almost similar without any statistically significant difference () (Supplementary Table S1). The association between each component of the risk scores with secondary endpoints was depicted in Supplementary Figure S1.
Ultimately, we evaluated the correlation between CHADS2, CHA2DS2-VASc, and CHA2DS2-VASc-M scores with serum levels of CRP, hs-cTnI, and D-dimer. All three risk scores were significantly correlated with these laboratory parameters; however, the correlation coefficients were all less than 0.5 (ranging from 0.102 to 0.384), which indicates a weak correlation (Supplementary Figure S2).
Discussion
Drawing from major tertiary hospital data, our results illustrated that the CHADS2, CHA2DS2-VASc, and CHA2DS2-VASc-M scores could aid prognostication of mortality as well as ARDS, cardiac injury, AKI, and mechanical ventilation in COVID-19 patients, irrespective of the presence of AF. Appraising the weight of each variable included within all risk scores revealed that most of the variables were predictors of unfavorable outcomes in patients with COVID-19. Moreover, we found that all three risk scores were remarkably correlated with CRP, hs-cTnI, and D-dimer serum levels.
Owing to the scarcity of healthcare resources during the COVID-19 pandemic, the need for implementing suitable strategies for equitably allocating the resources has never been timelier.
1
However, due to the lack of comprehensive data regarding the prognostic impact of different methods, there still exist uncertainties among clinicians to ascertain the prognosis of COVID-19 patients, resulting in increasing the demand for medical resources.
23
In this perspective, several studies have developed clinical risk estimators to assess the susceptibility for developing unfavorable outcomes.
1,24
Liang and colleagues
1
have proposed a clinical risk prediction score consisting of detailed radiological, biochemical, and clinical components for evaluating the prognosis of critically ill patients with COVID-19 at the time of hospital admission. Likewise, Knight et al
24
created the 4C mortality risk score to stratify the risk of in-hospital mortality in COVID-19 patients. In addition, by employing machine learning techniques, Yadaw et al
25
have developed a risk score model for predicting COVID-19 mortality. Dissecting the proposed methods by previous studies reveals that most of the included variables are based on radiological data or biomarker levels, which might limit their applicability in clinical practice. On the other hand, the calculation of the CHADS2, CHA2DS2-VASc, and CHA2DS2-VASc-M scores highly rely on patients’ anamnesis without the need for complex parameters. Hence, it might be much more practical to apply these easily calculable risk scores to timely stratify the risk of mortality in patients with COVID-19.
Dissecting the determinants of mortality in patients with COVID-19, most of the variables of the CHADS2, CHA2DS2-VASc, and CHA2DS2-VASc-M scores are confirmed to be prognostic risk factors.
4,9-14
Accordingly, we analyzed the weight of each component for mortality occurrence within the three risk scores, indicating that most of the variables were associated with increased risk of three-month mortality in COVID-19 patients. As the pathophysiological hallmark of the disease, the SARS-COV-2 gains its entry to the targeted cells through the angiotensin-converting enzyme 2 (ACE2) receptor, which is expressed in the kidney epithelium, pancreas, heart, enterocytes, and lungs.
26
It has been postulated that certain comorbidities are linked with a strong ACE-2 receptor expression, which enhances the viral entry to the host cells. Additionally, a critical casualty of the COVID-19 is propagating the cytokine storm, which may trigger inflammation and unfavorable outcomes in patients with underlying diseases.
4
As the first component of the three risk scores, CHF has been associated with worse outcomes in COVID-19 patients.
9
In patients with hypertension, upregulation of the ACE-2 expression has been demonstrated to play a critical role in increasing the fatality of the COVID-19.
4
In a pooled analysis conducted by Du et al,
10
patients with hypertension were at 2.17-fold higher risk of mortality. Similarly, elevated levels of ACE-2 receptors and the preexisting defects in the immune system have led to a higher susceptibility for poorer outcomes in patients with DM.
11,27
In this regard, a recent meta-analysis indicated that patients with DM had significantly higher risks of disease severity and mortality.
11
In terms of the pre-existence of stroke or TIA, subgroup analysis of a pooled study illustrated that cerebrovascular diseases were associated with higher risks of mortality in COVID-19 patients (relative risk:2.38; P < 0.001).
12
Likewise, the correlation between the presence of vascular disease and increased risk of COVID-19 mortality has been well identified.
13
In the domain of age affection, Zheng and colleagues
14
reported that aged over 65 could significantly affect the prognosis of patients with COVID-19. Across gender disparity, the male sex has been enlightened as an essential contributor to COVID-19 progression.
19
As a result, we also included a modified CHA2DS2-VASc score to adopt the context of COVID-19 better.
As a critical insight from this study, we revealed that the CHADS2, CHA2DS2-VASc, and CHA2DS2-VASc-M scores were independent predictors of three-month mortality after adjusting for possible confounders. Our results are in agreement with that of Quisi et al
15
who found that the CHA2DS2-VASc score could predict in-hospital mortality in COVID-19 patients. Similarly, Gunduz and colleagues
16
assessed the potential diagnostic role of CHA2DS2-VASc, and CHA2DS2-VASc-M scores in COVID-19 patients, indicating that both risk scores could be applied to stratify the risk of mortality with cut-off values of ≥ 3 scores. In another study, Ruocco et al
17
elucidated that COVID-19 patients in the highest tertile of CHA2DS2-VASc scores earned significantly higher risks of mortality (odds ratio:5.65; P < 0.001) compared with those in the lowest tertile. Strikingly, the pivotal predictive role of CHA2DS2-VASc score for mortality in several other diseases has been well identified.
7,8
In support of this concept, CHADS2 and CHA2DS2-VASc scores have been employed to predict 1-year all-cause mortality in patients with systolic heart failure.
7
In addition, Poci et al
8
demonstrated that the CHADS2 score was associated with long-term mortality in patients with acute coronary syndrome (HR:1.38; 95% CI 1.28–1.48).
Interpretation of the ROC analysis revealed that all three risk scores had valuable screening power to determine the prognosis of COVID-19 patients. Besides, the CHA2DS2-VASc-M score represented even better predictive values compared to the other ones, although it may lack clinical relevance due to the small statistical differences. Consistent with this notion, Caro-Codo’n et al
23
reported AUC of 0.788, 0.794, and 0.820 for CHADS2, CHA2DS2-VASc, and CHA2DS2-VASc-M scores to predict mortality among COVID-19 patients. Likewise, another investigation showed that the CHA2DS2-VASc score had a valuable prognostic ability for predicting ICU admission and mechanical ventilation in low-risk COVID-19 patients.
28
Furthermore, in a study that evaluated plausible predictors of in-hospital mortality on 694 COVID-19 patients, both CHA2DS2-VASc-M over CHA2DS2-VASc scores had valuable discriminative abilities, with higher AUC values for CHA2DS2-VASc-M.
29
Taken together, interpretation of our findings in accompany with previous studies reveal that all three risk scores could serve as a simplified means of rapid assessment, which could result in effectively guiding high-risk patients with COVID-19.
As a distinctive feature of this investigation, our analysis reinforced the CHADS2, CHA2DS2-VASc, and CHA2DS2-VASc-M scores as potential tools to predict cardiac injury in COVID-19 patients. The ROC analysis confirmed the prognostic ability of these risk scores for cardiac injury. As an endorsement for this analysis, we also indicated that all three risk scores were significantly correlated with serum levels of hs-cTnI. These findings agree with a previous study on patients with acute myocardial infarction, demonstrating that the incidence of cardiac events was higher as the CHA2DS2-VASc score increased.
6
Regarding the plausible pathophysiological hallmarks of cardiac injury in COVID-19 patients, the unmasking of underlying cardiovascular disease, susceptibility for developing acute coronary syndrome and myocarditis, and propagation of the cytokine cascade has been blamed.
30,31
Interestingly, most of the components of the three risk scores are recognized to be associated with increased risks of developing cardiac injury in COVID-19 patients.
32-36
The essential impact of the cardiac injury on developing poor outcomes has been addressed by previous efforts.
32-34
Besides, as the crucial representer of cardiac injury, elevation of troponin levels has been associated with increased risk of COVID-19 progression, although this elevation is reported to be delayed, particularly one week preceding the death.
37-39
Therefore, it seems critical to apply the CHADS2, CHA2DS2-VASc, and CHA2DS2-VASc-M scores to identify high-risk patients at earlier stages.
Lastly, we indicated that all three risk scores could predict ARDS, mechanical ventilation, and AKI in patients with COVID-19. In addition, these risk scores had remarkable associations with CRP and D-Dimer. Notably, several variables within the three risk scores have been demonstrated to predict ARDS, AKI, and mechanical ventilation utilization in COVID-19 patients.
10,11,40-43
Investigating the essential pathological pathways reveals that virus-induced cytopathic effects on the podocytes cells in the kidney and downregulating the expression of ACE-2 in lung cells could promote kidney and lung injury, respectively.
26,44,45
The SARS-COV-2 mediates its effect on the lungs and kidneys through the initiation of the hyperinflammatory state and diffuse intravascular coagulopathy, which is associated with elevated levels of D-dimer, CRP, and cardiac enzymes.
26,44,46-48
These observations could raise the possibility that the CHADS2, CHA2DS2-VASc, and CHA2DS2-VASc-M scores may reflect a remarkable pro-inflammatory and hypercoagulability state in patients with COVID-19, resulting in developing ARDS, AKI, and eventually mortality in COVID-19 patients.
All in all, our findings illustrated that rather than individual variables of the CHADS2, CHA2DS2-VASc, and CHA2DS2-VASc-M scores, the total scores revealed valuable prognostic performance for unfavorable outcomes in COVID-19 patients. Even though this is an observational study with its inherent biases, it supports the statement that all three risk scores could be integrated into the overall therapeutic strategy to guide the COVID-19 management more accurately. From the perspective of clinicians, these results are of utmost importance, given that employing an easily calculable tool for stratifying the prognosis of COVID-19 patients could aid in implementing suitable strategies for patients at higher risks of disease progression.
The current investigation has addressed the predictive role of the CHADS2, CHA2DS2-VASc, and CHA2DS2-VASc-M scores through a three-month follow-up. Our analysis provides new insights into the existing literature by evaluating whether these scores could be used to estimate the susceptibility to ARDS, cardiac injury, AKI, and mechanical ventilation in patients with COVID-19. Moreover, the sample size of the study is notably larger than most of the previous studies. On the contrary, we would like to emphasize the limitations of the study. First, this is a single-center observational study, which has its inherent limitations; thus, further longitudinal multicenter studies should be conducted to confirm these results more accurately. Also, we could not ascertain the thromboembolic event as a secondary endpoint. However, with respect to the findings of a recent study, the discussed risk scores did not predict thromboembolic events in patients with COVID-19, emphasizing that all three risk scores could predict poor outcomes in COVID-19 patients, regardless of the development of thromboembolic events.
23
Conclusion
In summary, we have endorsed an early pragmatic method to stratify the risk of poor outcomes in COVID-19 patients. Our analysis demonstrated that the CHADS2, CHA2DS2-VASc, and CHA2DS2-VASc-M scores could predict mortality, ARDS, cardiac injury, AKI, and mechanical ventilation in COVID-19 patients, irrespective of the presence of AF. Also, we found that all three risk scores were remarkably correlated with serum levels of CRP, hs-cTnI, and D-dimer. Our strategy regarding the employment of these three risk scores has advantages over previously designated risk scores in that it relies on patients’ anamnesis, can be performed at admission, and is not dependent on complex laboratory or radiological parameters. Given that fostering the optimal approach to mitigate the imposed burden of COVID-19 necessities suitable prognostication of high-risk patients, our findings could have a pivotal clinical impact on the management of COVID-19 patients.
Acknowledgments
We acknowledge all healthcare workers involved in the diagnosis and treatment of patients in Sina Hospital. We are indebted to the Research Development Center of Sina Hospital for its support.
Funding
This work was supported by the [Tehran University of Medical Sciences] under Grant [99-1-101-47211]. No funding was received to assist with the preparation of this manuscript.
Ethics approval
The research complied with the principles of the 1975 declaration of Helsinki. The protocol of this study was approved by the Ethics Committee of Tehran University of Medical Sciences (IR.TUMS.VCR.REC.1399.005). All participants or their legal guardians gave written informed consent before inclusion in the study. The study protocol has been priorly approved by the Institution’s ethics committee on research on humans.
Competing interests
The authors report no conflicts of interest.
Supplementary file
Supplementry file contains Table S1, Figure S1 and Figure S2.
References
- Liang W, Liang H, Ou L, Chen B, Chen A, Li C. Development and validation of a clinical risk score to predict the occurrence of critical illness in hospitalized patients with COVID-19. JAMA Intern Med 2020; 180(8):1081-1089. doi: 10.1001/jamainternmed.2020.2033 [Crossref]
-
Anonymous. COVID-19 Coronavirus Pandemic. Worldometer. Available from: https://www.worldometers.info/coronavirus/. Updated April 17, 2021. Accessed April 17, 2021.
- Thakur V, Ratho RK, Kumar P, Bhatia SK, Bora I, Mohi GK. Multi-organ involvement in COVID-19: beyond pulmonary manifestations. J Clin Med 2021; 10(3):446. doi: 10.3390/jcm10030446 [Crossref]
- Ejaz H, Alsrhani A, Zafar A, Javed H, Junaid K, Abdalla AE. COVID-19 and comorbidities: deleterious impact on infected patients. J Infect Public Health 2020; 13(12):1833-1839. doi: 10.1016/j.jiph.2020.07.014 [Crossref]
- Adam S, Zahra SA, Chor CYT, Khare Y, Harky A. COVID-19 pandemic and its impact on service provision: a cardiology prospect. Acta Cardiol 2021; 76(8):830-837. doi: 10.1080/00015385.2020.1787636 [Crossref]
- Kim KH, Kim W, Hwang SH, Kang WY, Cho SC, Kim W. The CHA2DS2VASc score can be used to stratify the prognosis of acute myocardial infarction patients irrespective of presence of atrial fibrillation. J Cardiol 2015; 65(2):121-127. doi: 10.1016/j.jjcc.2014.04.011 [Crossref]
- Chen YL, Cheng CL, Huang JL, Yang NI, Chang HC, Chang KC. Mortality prediction using CHADS2/CHA2DS2-VASc/R2CHADS2 scores in systolic heart failure patients with or without atrial fibrillation. Medicine (Baltimore) 2017; 96(43):e8338. doi: 10.1097/md.0000000000008338 [Crossref]
- Poçi D, Hartford M, Karlsson T, Herlitz J, Edvardsson N, Caidahl K. Role of the CHADS2 score in acute coronary syndromes: risk of subsequent death or stroke in patients with and without atrial fibrillation. Chest 2012; 141(6):1431-1440. doi: 10.1378/chest.11-0435 [Crossref]
- Dalia T, Lahan S, Ranka S, Acharya P, Gautam A, Goyal A. Impact of congestive heart failure and role of cardiac biomarkers in COVID-19 patients: a systematic review and meta-analysis. Indian Heart J 2021; 73(1):91-98. doi: 10.1016/j.ihj.2020.12.002 [Crossref]
- Du Y, Zhou N, Zha W, Lv Y. Hypertension is a clinically important risk factor for critical illness and mortality in COVID-19: a meta-analysis. Nutr Metab Cardiovasc Dis 2021; 31(3):745-755. doi: 10.1016/j.numecd.2020.12.009 [Crossref]
- Kumar A, Arora A, Sharma P, Anikhindi SA, Bansal N, Singla V. Is diabetes mellitus associated with mortality and severity of COVID-19? A meta-analysis. Diabetes Metab Syndr 2020; 14(4):535-545. doi: 10.1016/j.dsx.2020.04.044 [Crossref]
- Pranata R, Huang I, Lim MA, Wahjoepramono EJ, July J. Impact of cerebrovascular and cardiovascular diseases on mortality and severity of COVID-19-systematic review, meta-analysis, and meta-regression. J Stroke Cerebrovasc Dis 2020; 29(8):104949. doi: 10.1016/j.jstrokecerebrovasdis.2020.104949 [Crossref]
- Tian W, Jiang W, Yao J, Nicholson CJ, Li RH, Sigurslid HH. Predictors of mortality in hospitalized COVID-19 patients: a systematic review and meta-analysis. J Med Virol 2020; 92(10):1875-1883. doi: 10.1002/jmv.26050 [Crossref]
- Zheng Z, Peng F, Xu B, Zhao J, Liu H, Peng J. Risk factors of critical & mortal COVID-19 cases: a systematic literature review and meta-analysis. J Infect 2020; 81(2):e16-e25. doi: 10.1016/j.jinf.2020.04.021 [Crossref]
- Quisi A, Alıcı G, Harbalıoğlu H, Genç Ö, Er F, Allahverdiyev S. The CHA2DS2-VASc score and in-hospital mortality in patients with COVID-19: a multicenter retrospective cohort study. Turk Kardiyol Dern Ars 2020; 48(7):656-663. doi: 10.5543/tkda.2020.03488 [Crossref]
- Gunduz R, Yildiz BS, Ozdemir IH, Cetin N, Ozen MB, Bakir EO. CHA2DS2-VASc score and modified CHA2DS2-VASc score can predict mortality and intensive care unit hospitalization in COVID-19 patients. J Thromb Thrombolysis 2021; 52(3):914-924. doi: 10.1007/s11239-021-02427-1 [Crossref]
- Ruocco G, McCullough PA, Tecson KM, Mancone M, De Ferrari GM, D’Ascenzo F. Mortality risk assessment using CHA(2)DS(2)-VASc scores in patients hospitalized with coronavirus disease 2019 infection. Am J Cardiol 2020; 137:111-117. doi: 10.1016/j.amjcard.2020.09.029 [Crossref]
-
Anonymous. Clinical management of COVID-19. World Health Organization. Available from: https://www.who.int/publications/i/item/clinical-management-of-covid-19. Updated February 10, 2021. Accessed February 10, 2021.
- Galbadage T, Peterson BM, Awada J, Buck AS, Ramirez DA, Wilson J. Systematic review and meta-analysis of sex-specific COVID-19 clinical outcomes. Front Med (Lausanne) 2020; 7:348. doi: 10.3389/fmed.2020.00348 [Crossref]
- Ranieri VM, Rubenfeld GD, Thompson BT, Ferguson ND, Caldwell E, Fan E. Acute respiratory distress syndrome: the Berlin definition. JAMA 2012; 307(23):2526-2533. doi: 10.1001/jama.2012.5669 [Crossref]
- Adams JE 3rd, Bodor GS, Dávila-Román VG, Delmez JA, Apple FS, Ladenson JH. Cardiac troponin I A marker with high specificity for cardiac injury. Circulation 1993; 88(1):101-106. doi: 10.1161/01.cir.88.1.101 [Crossref]
- Makris K, Spanou L. Acute kidney injury: definition, pathophysiology and clinical phenotypes. Clin Biochem Rev 2016; 37(2):85-98.
- Caro-Codón J, Lip GYH, Rey JR, Iniesta AM, Rosillo SO, Castrejon-Castrejon S. Prediction of thromboembolic events and mortality by the CHADS2 and the CHA2DS2-VASc in COVID-19. Europace 2021; 23(6):937-947. doi: 10.1093/europace/euab015 [Crossref]
- Knight SR, Ho A, Pius R, Buchan I, Carson G, Drake TM. Risk stratification of patients admitted to hospital with COVID-19 using the ISARIC WHO Clinical Characterisation Protocol: development and validation of the 4C mortality score. BMJ 2020; 370:m3339. doi: 10.1136/bmj.m3339 [Crossref]
- Yadaw AS, Li YC, Bose S, Iyengar R, Bunyavanich S, Pandey G. Clinical features of COVID-19 mortality: development and validation of a clinical prediction model. Lancet Digit Health 2020; 2(10):e516-e525. doi: 10.1016/s2589-7500(20)30217-x [Crossref]
- Zhang X, Li S, Niu S. ACE2 and COVID-19 and the resulting ARDS. Postgrad Med J 2020; 96(1137):403-407. doi: 10.1136/postgradmedj-2020-137935 [Crossref]
- Pazoki M, Keykhaei M, Kafan S, Montazeri M, Mirabdolhagh Hazaveh M, Sotoodehnia M. Risk indicators associated with in-hospital mortality and severity in patients with diabetes mellitus and confirmed or clinically suspected COVID-19. J Diabetes Metab Disord 2021; 20(1):59-69. doi: 10.1007/s40200-020-00701-2 [Crossref]
- Chew NW, Ngiam JN, Sia CH. The utility of CHA(2)DS(2)-VASc scores as a risk assessment tool in low-risk in-hospital patients with coronavirus disease 2019 infection. Am J Cardiol 2021; 141:160-162. doi: 10.1016/j.amjcard.2020.12.005 [Crossref]
- Cetinkal G, Kocas BB, Ser OS, Kilci H, Keskin K, Ozcan SN. Assessment of the modified CHA2DS2VASc risk score in predicting mortality in patients hospitalized with COVID-19. Am J Cardiol 2020; 135:143-149. doi: 10.1016/j.amjcard.2020.08.040 [Crossref]
- Cheng R, Leedy D. COVID-19 and acute myocardial injury: the heart of the matter or an innocent bystander?. Heart 2020; 106(15):1122-1124. doi: 10.1136/heartjnl-2020-317025 [Crossref]
- Mishra AK, Sahu KK, George AA, Lal A. A review of cardiac manifestations and predictors of outcome in patients with COVID-19. Heart Lung 2020; 49(6):848-852. doi: 10.1016/j.hrtlng.2020.04.019 [Crossref]
- Zou F, Qian Z, Wang Y, Zhao Y, Bai J. Cardiac injury and COVID-19: a systematic review and meta-analysis. CJC Open 2020; 2(5):386-394. doi: 10.1016/j.cjco.2020.06.010 [Crossref]
- Li JW, Han TW, Woodward M, Anderson CS, Zhou H, Chen YD. The impact of 2019 novel coronavirus on heart injury: a systematic review and meta-analysis. Prog Cardiovasc Dis 2020; 63(4):518-524. doi: 10.1016/j.pcad.2020.04.008 [Crossref]
- Zeng L, Wang S, Cai J, Sun S, Wang S, Li J. Clinical characteristics of COVID-19 with cardiac injury: a systematic review and meta-analysis. Epidemiol Infect 2020; 148:e266. doi: 10.1017/s0950268820002587 [Crossref]
- Koh MCY, Li TYW, Ong JSY, Somani J, Ambhore AA. Stress cardiomyopathy with transient biventricular dysfunction following recent COVID-19 infection. Acta Cardiol Sin 2021; 37(2):204-207. doi: 10.6515/acs.202103_37(2).20201221a [Crossref]
- Yu WL, Toh HS, Liao CT, Chang WT. Cardiovascular complications of COVID-19 and associated concerns: a review. Acta Cardiol Sin 2021; 37(1):9-17. doi: 10.6515/acs.202101_37(1).20200913a [Crossref]
- Deng Q, Hu B, Zhang Y, Wang H, Zhou X, Hu W. Suspected myocardial injury in patients with COVID-19: evidence from front-line clinical observation in Wuhan, China. Int J Cardiol 2020; 311:116-121. doi: 10.1016/j.ijcard.2020.03.087 [Crossref]
- Papageorgiou N, Sohrabi C, Prieto Merino D, Tyrlis A, Atieh AE, Saberwal B. High sensitivity troponin and COVID-19 outcomes. Acta Cardiol 2021:1-8. doi: 10.1080/00015385.2021.1887586 [Crossref]
- Aladağ N, Atabey RD. The role of concomitant cardiovascular diseases and cardiac biomarkers for predicting mortality in critical COVID-19 patients. Acta Cardiol 2021; 76(2):132-139. doi: 10.1080/00015385.2020.1810914 [Crossref]
- Xu W, Sun NN, Gao HN, Chen ZY, Yang Y, Ju B. Risk factors analysis of COVID-19 patients with ARDS and prediction based on machine learning. Sci Rep 2021; 11(1):2933. doi: 10.1038/s41598-021-82492-x [Crossref]
- Khalili S, Sabaghian T, Sedaghat M, Soroureddin Z, Askari E, Khalili N. Prevalence, risk factors and outcomes associated with acute kidney injury in patients hospitalized for COVID-19: a comparative study between diabetic and nondiabetic patients. J Diabetes Res 2021; 2021:6666086. doi: 10.1155/2021/6666086 [Crossref]
- Lin L, Wang X, Ren J, Sun Y, Yu R, Li K. Risk factors and prognosis for COVID-19-induced acute kidney injury: a meta-analysis. BMJ Open 2020; 10(11):e042573. doi: 10.1136/bmjopen-2020-042573 [Crossref]
- Patel U, Malik P, Usman MS, Mehta D, Sharma A, Malik FA. Age-adjusted risk factors associated with mortality and mechanical ventilation utilization amongst COVID-19 hospitalizations-a systematic review and meta-analysis. SN Compr Clin Med 2020; 2(10):1740-1749. doi: 10.1007/s42399-020-00476-w [Crossref]
- Gabarre P, Dumas G, Dupont T, Darmon M, Azoulay E, Zafrani L. Acute kidney injury in critically ill patients with COVID-19. Intensive Care Med 2020; 46(7):1339-1348. doi: 10.1007/s00134-020-06153-9 [Crossref]
- Rahimzadeh H, Keykhaei M, Razeghi E, Zivari E, Mansouri ES. COVID-19 progression in kidney transplant recipients: a single-center case series. CEN Case Rep 2021; 10(4):494-499. doi: 10.1007/s13730-021-00584-z [Crossref]
- Ponti G, Maccaferri M, Ruini C, Tomasi A, Ozben T. Biomarkers associated with COVID-19 disease progression. Crit Rev Clin Lab Sci 2020; 57(6):389-399. doi: 10.1080/10408363.2020.1770685 [Crossref]
- Salabei JK, Fishman TJ, Asnake ZT, Ali A, Iyer UG. COVID-19 coagulopathy: current knowledge and guidelines on anticoagulation. Heart Lung 2021; 50(2):357-360. doi: 10.1016/j.hrtlng.2021.01.011 [Crossref]
- Shoar S. D-dimer and poor clinical outcome in patients with COVID-19: lessons from meta-analysis of case-control studies. Heart Lung 2021; 50(2):298. doi: 10.1016/j.hrtlng.2021.01.004 [Crossref]